Investigación
Aproximaciones al trabajo precario en Argentina (2016-2019)
Approximations to precarious work in Argentina (2016-2019)
Aproximações ao trabalho precário na Argentina (2016-2019)
Aproximaciones al trabajo precario en Argentina (2016-2019)
Ciencia, Docencia y Tecnología, vol. 33, núm. 64, 2022
Universidad Nacional de Entre Ríos
Recepción: 06 Abril 2021
Aprobación: 24 Septiembre 2021
Resumen: El trabajo precario es un fenómeno persistente a nivel mundial. En Argentina, la crisis socioeconómica de los últimos años refleja el deterioro de los principales indicadores económicos y del mercado de trabajo. El objetivo del presente artículo consiste en caracterizar el comportamiento de la precariedad laboral en Argentina durante 2016-2019 sobre la base de la Encuesta Permanente de Hogares (eph), a partir de la construcción de un índice que exprese las variaciones e impacto relativo del fenómeno en la población ocupada asalariada sobre diferentes aspectos socio demográficos y del mercado de trabajo. Concluimos que durante los años bajo estudio, persisten mayores concentraciones de casos en niveles de precariedad alto y extremo en mujeres, jóvenes de 16 a 29 años de edad, personas sin calificación, sin instrucción, que desarrollan sus actividades en establecimientos de hasta cinco personas y en el sector de comercio.
Palabras clave: mercado de trabajo, precariedad laboral, índice de precariedad, empleo asalariado, asalariado, Argentina.
Abstract: The precarious work is a persistent worldwide phenomenon. In Argentina, the socioeconomic and labour market crisis reflect this in their main statistic indicators. This article intends to characterize the precarious work performance in Argentina during the period from 2016 to 2019 based on Encuesta Permanente de Hogares (eph), to do that, we build a precarity index to measure the impacts in sociodemographic and labour market variables in employed population. To conclude, we found extreme and high levels of precarious work in woman, young workers (16-29 years old), people without qualification, people without instruction, people who work in small enterprises (up to five people) and people who work in commercial sector.
Keywords: labour market, labour precariousness, precariousness index, employment work, Argentina.
Resumo: O trabalho precário é um fenômeno persistente em todo o mundo. Na Argentina, a crise socioeconômica dos últimos anos reflete a deterioração dos principais indicadores económicos e do mercado de trabalho. O objetivo deste artigo é caracterizar o comportamento da precarização do trabalho na Argentina durante o período 2016-2019 com base na Pesquisa Permanente de Domicílios (EPH, sigla em espanhol), a partir da construção de um índice para expressar as variações e o impacto relativo do fenômeno na população ocupada assalariada sobre diferentes aspectos sociodemográficos e do mercado de trabalho. Concluímos que durante os anos estudados persistem maiores concentrações de casos em níveis elevado e extremo de precariedade em mulheres, jovens entre 16 e 29 anos, pessoas sem qualificação, sem escolaridade, que desenvolvem suas atividades em estabelecimentos de até 5 pessoas e no setor de comércio.
Palavras-chave: mercado de trabalho, precariedade laboral, índice de precarização, trabalho assalariado, assalariado, Argentina.
Introducción
La precariedad es un fenómeno persistente en el mercado de trabajo en Argentina. Una de las variables más representativas del fenómeno es la tasa de personas asalariadas sin descuento jubilatorio, la cual representa en 2016 el 33,4 % de la población de los principales aglomerados urbanos y en 2019, el 34,5 % (eph-indec, 2019). Dicho incremento puede encontrar explicación en torno a la compleja situación socioeconómica que Argentina transita en este período: caída del Producto Bruto Geográfico (pib), aumento de la desocupación, la subocupación y de las personas ocupadas demandantes de empleo, caída de la actividad, baja del consumo, pérdida del salario real, crisis en el sector industrial y de las pequeñas y medianas empresas, endeudamiento y devaluación, entre otras (cepal, 2016, 2017, 2018, 2019).
En dicho escenario, es previsible –en principio– que las situaciones de precariedad continúen expandiéndose en el mercado de trabajo, en lugar de retraerse. Una de las definiciones de precariedad propuesta por la Organización Internacional del Trabajo (oit) destaca que el no registro junto con las formas grises de contratación son algunas de las estrategias que las empresas utilizan para mejorar su rentabilidad y/o minimizar el impacto de las crisis socioeconómicas al transferir los riesgos y responsabilidades a los trabajadores y las trabajadoras (actrav-oit, 2012). Sin embargo, los motivos de la precariedad son múltiples, impactando en numerosas dimensiones y caracterizándose por la inestabilidad, incertidumbre e inseguridad en el empleo.
Diversas variables son utilizadas con frecuencia para monitorear estas situaciones de precariedad, como las relativas a las formas de contratación y organización del trabajo en el establecimiento, los ingresos y la protección social junto con los derechos laborales que incluyen además las posibilidades de manifestación y sindicalización. En los últimos años varias investigaciones se refirieron a la precariedad como un fenómeno multidimensional (De Oliveira, 2006; Mora Salas, 2005, 2006, 2010; Sánchez Román, 2013; Vejar, 2020; Mendoza González, Cruz Calderón y Valdivia López, 2020), haciendo énfasis en que su impacto varía según las características socio demográficas de los trabajadores y las trabajadoras, los sectores de actividad en los que despliegan sus actividades, el tamaño de la empresa, entre otras.
Desde la perspectiva multidimensional preguntamos: ¿cómo es la estructura de la precariedad entre 2016 y 2019 en Argentina? ¿Cuáles son los indicadores que concentran mayores niveles de precariedad? ¿Qué impactos diferenciales pueden observarse según sexo, grupos de edad y nivel educativo? ¿Qué diferencias pueden señalarse respecto de los sectores de actividad, el tamaño de la empresa o la calificación de las personas? En este artículo nos proponemos realizar un breve recorrido sobre las principales discusiones en torno a la precariedad y sus variables de medición con el objetivo de crear un índice de precariedad que permita reflejar la variabilidad de este fenómeno a lo largo de los años, a fin de señalar diferencias según sexo, grupos de edad, nivel educativo, tamaño de empresa, calificación y sector de actividad.
Nuestro supuesto de trabajo sostiene que la precariedad laboral en el mercado de trabajo en Argentina persiste en niveles elevados a lo largo de los años sobre las mujeres, en jóvenes, en personas con bajo nivel educativo y escasa calificación, en micro establecimientos y en el sector de servicios.
Este artículo se divide en cinco partes. La primera contiene los principales debates en torno al fenómeno de precariedad y la construcción de una definición propia. La segunda comprende al aspecto metodológico, donde exhibimos los procedimientos realizados para la reconstrucción de la base de datos de la Encuesta Permanente de Hogares (eph-indec) y la aplicación de un Análisis de Componentes Principales, cuyos resultados recuperamos para la realización de un índice de precariedad laboral a partir del método propuesto por Dalenius y Hodges (1959). En la tercera parte desarrollamos el análisis y presentamos las distribuciones de frecuencias para los bloques de variables socio demográficas y del mercado de trabajo, y en la cuarta discutimos los principales hallazgos conforme a las investigaciones relacionadas con la temática. En la quinta y última parte compartimos las conclusiones señalando además las limitaciones y algunas propuestas respecto del estudio realizado.
1. La precariedad como fenómeno multidimensional
La precariedad laboral es un concepto que fue utilizado para describir las características de los empleos en la denominada economía informal (oit, 1972). Esto comprendía las actividades laborales «marginales» no estructuradas ni institucionalizadas que se dirigían a «maximizar el ingreso total familiar para asegurar la sobrevivencia» (Neffa et al., 2008: 4). Este fenómeno era común sobre el conjunto de trabajadores pobres que se encontraban excluidos o parcialmente excluidos del empleo estándar-típico de las empresas modernas de las zonas urbanas.
Dichas configuraciones «atípicas» comenzaron a observarse como un «fenómeno emergente» en las economías formales (De la Garza Toledo, 2009) de los mercados laborales de los principales países capitalistas durante los años setenta y ochenta del siglo xx. Poco a poco, los empleos se celebraban por contratos por tiempo determinado –a corto plazo/temporales–, con salarios cada vez más bajos, junto con nuevas estrategias en la organización del tiempo y del lugar de trabajo (Salas, 2005). Este proceso de transformación de las relaciones de trabajo fue acompañado por reformas estatales que buscaron desarticular el pacto social de los estados de bienestar de posguerra en Occidente, brindando mayores beneficios a las empresas en la relación capital/trabajo a través de una serie de políticas de corte neoliberal orientadas a la flexibilización de las condiciones de contratación y debilitamiento de las organizaciones de trabajadores. A ello también debe sumarse las innovaciones técnicas en la gestión y control del trabajo con la aparición y expansión del modelo toyotista de producción y sus variantes hasta la actualidad.
Durante los años ochenta, la Organización Internacional del Trabajo (oit) continúa el debate, delimitando el concepto de precario al asociarlo a una situación laboral caracterizada por la inestabilidad y ausencia de protección social, como son la obra social y/o seguro de desempleo. A ello podemos agregar un conjunto de autores y autoras que, entre mediados de los ochenta y principios de los años noventa, logran especificar las características base sobre los cuales se sustenta gran parte de los debates actuales sobre la precariedad laboral. Guy Caire (1982), Córdova (1983), Galin y Novick (1990) y Rodgers et al. (1992) señalan que la principal característica de la precariedad debe encontrarse en la duración del contrato, siendo la inseguridad (incertidumbre) uno de sus atributos principales, conjuntamente al no registro de la actividad, dando lugar a una situación laboral donde las personas se encuentran excluidas frente al acceso a derechos laborales y protección social.
Así durante los años noventa y dos mil, las figuras tradicionales «típicas» de empleos formales caracterizados por jornadas laborales de ocho horas, salarios pautados, mono-empleador, realización de una única actividad, duración contractual por tiempo indeterminado y amplia cobertura de derechos laborales y protección social son reemplazados por empleos precarios –«atípicos»–. Esto se constituye como la norma al interior de las relaciones laborales, caracterizándose por empleos de corta duración (temporales), bajos salarios, horarios y actividades flexibles, cercenamiento parcial de derechos frente a nuevas formas de contratación (trabajo con venta de servicios, subcontratado, tercerizado, entre otras), persistencia del no registro y exclusión total de los derechos laborales (Neffa et al., 2008).
Este fenómeno emergente se expandió, fortaleció y persiste sobre gran parte del colectivo de trabajo en la actualidad. Varias investigaciones lo estudian en diferentes sectores de actividad económica, grupos de población y regiones (Antunes, 2009; De la Garza Toledo, 2013; García, 2006, 2011; Neffa et al., 2008; Vejar, 2013; Del Bono, 2019), haciendo referencia a dimensiones sociales, económicas, de legislación y políticas en contexto. Al mismo tiempo, muchos advirtieron que la definición conceptual de la precariedad debía complementarse incluyendo los aspectos de impacto subjetivo resultantes de la precariedad, como la inseguridad, la incertidumbre o la inestabilidad (Barattini, 2009; Gallie y Paugam, 2000; Piñeiro, 2011; Vejar, 2020).
Sobre dichas bases, la complejidad del fenómeno de la precariedad en tanto se relaciona a diferentes dimensiones de la realidad de las personas que viven del trabajo, la propuesta conceptual de «precariedad multidimensional» pretende la integración de todos los aspectos mencionados, a fin de lograr un análisis holístico, que de lo contrario, según otras definiciones serían desestimadas con diferentes atributos que en otras propuestas son desestimados. En este grupo se encuentran las contribuciones de De Oliveira (2006), Sáinz (2010), Salas (2005, 2012), Román Sánchez (2013), Fernández Massi (2014), Pol et al. (2015), Favieri (2016), Mendoza-González et al. (2020) y Vejar (2020).
Es importante destacar la emergencia de estudios sobre precariedad laboral relacionados con las economías de plataforma en los últimos años en Argentina.
La definición de precariedad
Definimos a la precariedad como la situación resultante de un fenómeno de modernización global de las relaciones de trabajo donde se despliegan, por parte de las empresas, estrategias de flexibilización y reducción de costos (actrav-oit, 2012), pudiendo sostenerse en «niveles variables y grados de particularidades objetivas (situación legal) y subjetivas (sensación) de incertidumbre e inseguridad» (actrav-oit, 2012: 33), al tiempo que la calidad del empleo y las relaciones laborales se transforman, precarizando los modelos de regulación del trabajo, excluyendo y marginando a la población de derechos laborales y ciudadanos (Salas, 2005), imposibilitando su integración (Mendoza-González et al., 2020) o bien limitando el ejercicio de derechos (Vejar, 2020), donde la incertidumbre y el riesgo terminan por constituirse como una característica estructural (De Oliveira, 2006), aumentando la vulnerabilidad social (Salas, 2005).
A partir de lo anterior, redefinimos las dimensiones de referencia a fin de aplicarlas según el objetivo del presente trabajo. Consideramos tres grandes dimensiones sobre las que se analizarán las diferentes situaciones de precariedad en el trabajo:
1. Derechos laborales: refiere al aspecto normativo sobre el cual se celebran las condiciones del contrato incluyendo cobertura y protección social (de vacaciones pagas, aguinaldo, descuento jubilatorio, días pagos por enfermedad, obra social, recibo de sueldo).
2. Temporalidad: refiere a la estabilidad en el empleo, en relación con la duración (antigüedad) y tipo (temporal, de planta).
3. Económica: incluye aspectos que permiten conocer la suficiencia de ingresos a partir del registro de ingresos de la ocupación principal, la cantidad de ocupaciones, la búsqueda de más empleo u horas para trabajar.
Uno de los modos en que se visibiliza la precariedad en términos de derechos laborales se manifiesta a través de la ausencia de uno o más derechos laborales; por ejemplo: desprotección o falta de cobertura social (no percepción de jubilación). En relación con la temporalidad, un empleo se encontrará más cercano a una situación de precariedad si esa tiempo parcial, por tiempo determinado, (como una pasantía o período de prueba), frente a un empleo de planta, por ejemplo.
Por último, la dimensión económica define como precarios a los ingresos que, percibidos por la ocupación principal, no superan el Salario Mínimo Vital y Móvil (smvm), junto con otras variables que pueden acompañar situaciones de insuficiencia, como la necesidad de trabajar por más horas y/o buscar otro empleo, y la cantidad de ocupaciones que desarrolla cada trabajador/a.
En términos multidimensionales, el fenómeno de precariedad expresa variabilidad en cada aspecto, acercando o alejando a una persona de una situación de precariedad laboral. Puede suceder que los derechos laborales del trabajador y/o trabajadora se respeten en su totalidad al igual que los criterios de temporalidad, pero en los ingresos se observe insuficiencia por un salario que no logra superar la canasta básica con los ingresos de la ocupación principal, por lo que el trabajador y/o trabajadora busque trabajar más horas u otro trabajo; en este caso, esa persona puede encontrarse en un grado mayor de precarización si la dimensión de temporalidad lo ubica en un empleo temporal, y así sucesivamente.
En sintonía con Vejar (2020: 137), sostenemos que la expresión de la precariedad «se encuentra en movimiento y en combinación con diversas ocupaciones de la estructura del empleo», y que, para captar su variabilidad y expresión multidimensional, proponemos la realización de un análisis de componentes principales (acp) que permita determinar dicha característica mediante la construcción de un índice que posibilita ampliar el análisis hacia otras variables.
2. Metodología
Los datos que utilizamos para esta investigación corresponden a los segundos trimestres de la Encuesta Permanente de Hogares (eph) elaborada por el Instituto Nacional de Estadísticas y Censos (indec) para los años 2016, 2017, 2018 y 2019. Trabajamos con la población ocupada asalariada ponderada. Por otra parte, seleccionamos los segundos trimestres ya que reflejan el momento de menor fluctuación estacional de la actividad económica.
La eph tiene como objetivo general determinar la inserción en la estructura económica y social de 31 aglomerados urbanos de Argentina, determinando características demográficas, inserción en la producción de bienes y servicios y la participación en la distribución del producto social. Es una encuesta por muestreo bietápico estratificado que releva por trimestre 18.000 hogares y 58.000 personas (eph-indec, 2019; indec, 2003).
Este estudio se compone de dos partes metodológicas En la primera desarrollamos la aplicación del Análisis de Componentes Principales (acp), y en la segunda construimos el índice de precariedad bajo el método propuesto por Dalenius y Hodges (1959) que se lleva a cabo a partir de las puntuaciones factoriales de la primera componente (la más representativa) del modelo resultante de acp.
Desarrollo del acp
El acp es un método de aprendizaje no supervisado que permite reducir la dimensionalidad (variables) perdiendo la menor cantidad posible de información (varianza), tal como indica Gil Martínez (2018: 2): «Cuando contamos con un gran número de variables cuantitativas posiblemente correlacionadas (indicativo de existencia de información redundante), ACP permite reducirlas a un número menor de variables transformadas (componentes principales) que expliquen gran parte de la variabilidad en los datos», a la vez que «cada dimensión o componente principal generada por el acp será una combinación lineal de variables originales y serán independientes o no correlacionadas entre sí».
El primer paso consiste en operacionalizar el concepto de empleo precario a partir de las dimensiones: a) derechos laborales (disponibilidad de vacaciones pagas, aguinaldo, descuento jubilatorio, días pagos por enfermedad, obra social y recibo de sueldo), b) la temporalidad (antigüedad en el empleo y tipo de empleo) y c) la económica (ingreso total de la ocupación principal, cantidad de ocupaciones, búsqueda de más empleo u horas para trabajar).
En total se integran doce variables donde no todas tienen el mismo nivel de medición y en algunos casos las respuestas son múltiples; por ello se estandarizan las variables (ver tabla 1) inspirados en los modelos presentados por Favieri (2016), Fernández Massi (2014) y Pol et al. (2015) para la aplicación de los estadísticos. Posteriormente se realiza una imputación múltiple para todas las variables incluidas en el modelo.

En el segundo paso, aplicamos un conjunto de pruebas para determinar si la estructura de datos es correcta para ser analizada factorialmente: la prueba de esfericidad de Bartlett1 y la prueba de adecuación Kaiser-Meyer-Olkin (kmo)2. Posteriormente procedemos a la realización del análisis factorial (ver anexo estadístico para consultar sustrato matemático).

La medida kmo indica un valor superior a 0,9 en todos los años, por lo que es correcto y apropiado realizar los cálculos factoriales, a la vez que la prueba de esfericidad de Bartlett confirma que las variables se encuentran un grado de intercorrelación muy alto.
En el tercer paso, continuamos con el análisis de la estructura de correlaciones. Aquí interesa determinar la varianza y co-varianza entre lasvariables, sea un vector de variables aleatorias. La siguiente tabla muestra la varianza total explicada extraída por el método de componentes principales de la primera componente:

En todos los años de la serie el factor 1 (primera componente) explica más del 51 % de la varianza. La significatividad asociada es 0 verificando el ajuste de los datos al modelo. Por último, con las puntuaciones factoriales disponibles de la primera componente3, procedemos al segundo momento, el cálculo del índice bajo el método Dalenius y Hodges (1959).
Construcción del índice
Sobre los valores obtenidos de la primera componente, se realiza el cálculo del índice a través del método propuesto por Dalenius y Hodges (1959) mediante la técnica de estratificación óptima que permite crear estratos en los que la varianza es la mínima posible. Este método además le da prioridad a la distribución de la variable y al número de casos, por ello es considerado como uno de los mejores para clasificar una variable4.
Realizados los procedimientos de cálculo (ver anexo estadístico para consultar sustrato matemático), se construyen cuatroestratos: bajo, medio, alto y extremo, siguiendo el trabajo de Román.

Sobre estos resultados y para definir con exactitud a qué situaciones se refieren los niveles bajo, medio, alto y extremo de precariedad, calculamos los promedios en todos los años (2016-2019) y los distribuimos conforme a la definición inicial del modelo teórico (precario/no precario). Las frecuencias relativas señalan una concentración más cercana al modelo teórico en la dimensión derechos laborales, posiblemente por constituir al índice sobre la primera componente, y es visiblemente consistente en un sentido de progresividad desde el nivel bajo al extremo (ver tabla siguiente), al igual que en la dimensión que incluye los indicadores de la dimensión económica.
Sobre la dimensión temporal encontramos un comportamiento diferente. El modelo teórico supone peores resultados entre los indicadores de esta dimensión conforme avanza a un nivel extremo de precariedad (mayor dispersión); sin embargo, en los niveles medio y alto se invierte la línea de progresividad, mostrando mejores condiciones en el nivel alto que en el nivel medio de precariedad. A continuación, definimos los niveles:

Precario bajo: empleos que cumplen con todos los derechos laborales (100 %), en su dimensión temporal pueden expresar trabajos con turnos rotativos o nocturnos (0,3 %) y en su dimensión económica manifiestan la presencia de casos con más de una ocupación (3,6 %).
Precario medio: situaciones donde se cumplen los derechos laborales (97,3 %), en su dimensión temporal se tratan de empleos con antigüedad mayor a un mes y no tienen tiempo de finalización (79,8 %), y en su dimensión económica el 60,3 % destaca una situación donde los salarios son mayores al smvm. Suele tratarse de casos con una ocupación, las personas no buscan otro trabajo ni trabajar más horas.
Precario alto: son situaciones donde no se cumplen los derechos laborales (92,9 %), en su dimensión temporal son empleos que en su mayoría tienen antigüedad mayor a un mes y no tienen tiempo de finalización (87 %), y en su dimensión económica el 52 % de los casos no supera el smvm. Las personas se sostienen con más de una ocupación, buscan más trabajo y trabajar más horas.
Precario extremo: se trata de situaciones donde no se cumplen los derechos laborales (99,7 %), en su dimensión temporal son trabajos con tiempo de finalización y antigüedad menor a 1 mes (65 %), y en su dimensión económica en el 90,6 % de los casos los salarios no superan el smvm. Las personas, con más de una ocupación, buscan más trabajo y trabajar más horas.
A partir del índice y sus niveles definidos, comparamos los resultados por año observando dos bloques:
• sociodemográficos: a) grupos de edad: 16 a 29 años y 30 a 64 años, b) sexo: varones y mujeres y c) nivel educativo: primario, secundario, terciario/universitario, sin instrucción;
• mercado de trabajo: a) tamaño de la empresa: hasta 5 personas, de 6 a 40 personas y más de 40 personas; b) calificación: sin calificación, operativo, técnico y profesional, y c) grandes sectores de actividad económica (industria, comercio y servicios).
Hacia el final del análisis recuperamos los hitos observados en cada año para determinar la presencia de variaciones en cada indicador. El análisis se realiza sobre la distribución porcentual por filas a fin de determinar las variaciones conforme a los niveles consignados y se realiza una comparación interanual sobre la distribución porcentual observada por año, pero debe considerarse que la variabilidad de un año a otro puede deberse a diversos factores como: cambio en los marcos muestrales o fenómenos sociodemográficos, por lo que el siguiente análisis descriptivo debe realizarse atendiendo dichas limitaciones.
3. Análisis
Bloque sociodemográfico
En este bloque de análisis se realiza la distribución de frecuencias sobre las variables de sexo, edad y nivel educativo. Como se verá aquí y en el resto de las tablas, exhibimos las celdas coloreadas según concentración de frecuencias para facilitar la lectura. Asignamos verde oscuro para las que representan las mayores frecuencias, verde claro para las frecuencias que ocupan el segundo lugar, verde pálido para aquellas que se posicionan en el tercer lugar y blanco para las que menores concentraciones reúnen, todas sobre la base del total por fila.
Sobre la variable sexo podemos destacar que las mayores concentraciones a lo largo de todos los años se ubican en el nivel bajo, superando en proporción los varones a las mujeres. Los resultados más elevados en el nivel bajo se exhiben en 2019, donde varones y mujeres alcanzan la mayor concentración de casos (58,1 % y 53,5 %, respectivamente). En relación con el nivel de precariedad medio, en todos los años tienden para ambos casos a disminuir su distribución porcentual, siendo mayor la concentración de mujeres en este nivel que de varones. Sin embargo, la participación de varones por año en el nivel medio de precariedad disminuye con mayor amplitud.

En el nivel precario alto, los varones se ubican con valores cercanos al 16 % en todos los años, solo superado por la distribución de las mujeres en el año 2017 con el 16,2 %.En años posteriores desciende a 15,5 % (2018) y 15,2 % (2019). Para el nivel precario extremo, las mujeres superan en concentración en todos los años a los varones con distribuciones que van del 19,1 % al 19,7 %, mientras que en varones tiende a disminuir del 15,6 % en 2016 al 14,4 % para 2018, aunque se incrementa en 2019 con el 15,4 %. En términos generales, observamos mayores variaciones en el nivel de precariedad bajo, en especial para el año 2019.

Entre los grupos de edad, los de 16 a 29 años exhiben una distribución porcentual mayor entre los niveles altos y extremos de precariedad, mientras que los grupos de edad de 30 a 64 años lideran entre los niveles bajo y medio.
Las personas que trabajan entre 16 y 29 años se ubican con el 27,3 % durante 2016 en el nivel bajo, incrementando su participación hacia 2019 con el 39,6 %. Se destaca un aumento de casi 10 puntos porcentuales (p.p.) respecto de 2018 (29,2 %).
En cuanto al nivel precario medio, presenta una tendencia descendente en relación clonas distribuciones anuales, comenzando con el 25,9 % en 2016 y finalizando con el 13,2 % en 2019. Esto no ocurre con el nivel precario alto, donde se logra mantener, representando el 18,4 % en 2016 e incrementándose en 2017 al 19,8 %, sosteniendo el mismo valor para 2018 y descendiendo al 18,1 % en 2019. Por último, en el nivel precario extremo, este grupo presenta descensos en las concentraciones desde 2016 a 2018 (28,4 % a 27,5 %, respectivamente), aunque para 2019 se incrementa a un 29,2 %.
Por otro lado, el grupo de 30 a 64 años fortalece su participación en el nivel bajo exhibiendo mayores frecuencias de casos por cada año, ubicándose con el 52,3 % en 2016 y finalizando 2019 con el 62,9 %, al tiempo que aumenta su participación entre 2016 y 2017 en el nivel precario medio (20,9 % al 21 %, respectivamente) y luego desciende al 18,8 % y 10,7 % en 2018 y 2019.
Con respecto al nivel precario alto, suele mantenerse en el orden del 13 %, inicia 2016 con el 13,7 % y finaliza con el 13,8 %, y en cuanto al nivel precario extremo entre 2016 y 2017 sostiene un descenso del 13,2 % al 12,1 % respectivamente, luego un incremento para 2018 con el 12,8 %, y finaliza con 12,6 % en 2019.
En resumen, el grupo de 30 a 64 años exhibe menor dispersión por nivel que el grupo de 16 a 29 años. En ambos se destacan variaciones de frecuencia importante entre precario medio y bajo durante 2019, donde al parecer, a medida que desciende el nivel precario medio se incrementa la participación en el nivel bajo, mientras que el resto de los niveles permanece relativamente constante, como se observa también en la tabla anterior.

Sobre el nivel educativo alcanzado con respecto a los cambios en las distribuciones señaladas observamos que el nivel terciario/universitario concentra la mayor distribución porcentual de casos en el nivel bajo, observando una disminución paulatina de concentraciones a lo largo de los años en el resto de los niveles, a la vez que se incrementa la participación en el nivel bajo. Se destaca que la amplitud entre 2018 y 2019 en el nivel bajo puede explicarse por una redistribución de casos de precariedad media a baja y otro tanto a precario extremo.
En cuanto al nivel secundario alcanzado, el nivel bajo incrementa su participación año tras año a la vez que disminuye en frecuencia relativa de casos en el nivel de precariedad medio. Sostiene valores relativos sin mayores variaciones en los niveles de precariedad altos y extremos, aunque en este último tiende a incrementarse desde 2017. Al igual que en el nivel terciario/universitario, se destaca un descenso importante en la distribución de casos para el nivel de precariedad medio, donde puede que se hayan reubicado en el nivel bajo y el precario alto.
El nivel primario presenta mayor proporción relativa en el nivel bajo, frecuencia que va en aumento desde 2016 a 2019; al tiempo que disminuye su concentración en el nivel de precariedad medio, con excepción del año 2017, donde repunta respecto del año 2016 (18,1 % a 20 %, respectivamente). Sin embargo, encontramos mayor frecuencia de casos en los niveles precario alto y extremo. En el primero, con valores entre 24,2 % y23, 6 % y en el segundo entre 28,4 % y 27, 3 %. A lo largo de los años en estos niveles las frecuencias relativas observadas tienden a disminuir en el nivel precario alto y a sostenerse en el precario extremo al menos sobre los dos últimos años de la serie 2018 y 2019.
Para las personas sin instrucción destacamos una importante concentración en el nivel bajo para los años 2016 y 2018 (45 % y 39,4 %, respectivamente) y en los años 2017 y 2019 lo hace con el 20,7 % y 16,1 % para cada una. Se presentan diferencias de magnitud para el nivel precario medio, observando concentraciones menores a las de los niveles alto y extremo; sin embargo, en cada año la distribución varia. Es así que en 2016 la mayor distribución de personas sin instrucción se ubica en el nivel bajo (45 %), en 2017 en precario extremo (35,1 %), en 2018 sobre el nivel bajo nuevamente (39,4 %) y en 2019 sobre el nivel de precariedad alto (48,2 %).
En términos generales, para este bloque destacamos que: existe mayor proporción de mujeres en el nivel extremo de precariedad al igual que grupos de 16 a 29 años junto con personas sin instrucción y nivel educativo primario alcanzado. Señalamos además que los indicadores que presentan niveles de precariedad más bajos son representados por varones, grupos de 30 a 64 años de edad y nivel educativo terciario/universitario.
Con respecto a las variaciones interanuales señalamos que en todas las variables, a excepción de algunos indicadores de nivel educativo (sin instrucción), se incrementa la proporción de casos.
Bloque de mercado de trabajo
En este bloque presentamos los niveles de precariedad según calificación laboral, tamaño de la empresa y rama de actividad. En relación con la calificación, los casos que conforman a los empleos profesionales se distribuyen por año con mayor frecuencia en el nivel bajo, comenzando 2016 con el 69,3 % y luego de dos años consecutivos exhibiendo menores frecuencias relativas (2017 con 66,4 % y 2018 con 66 %), se recuperan logrando el máximo en la distribución del año 2019 con el 75,9 %. Sigue en cada distribución anual el nivel precario medio exhibiendo menores frecuencias a lo largo de la serie, pasando del 18,9 % en 2016 al 10,6 % en 2019.

En cuanto al nivel precario alto, las calificaciones profesionales ubican frecuencias menores a los niveles anteriores, pero interanualmente en ascenso, iniciando 2016 con el 7,8 % y ubicándose con el 12,2 % en 2018, para descender a 10,5 % en 2019; por último, en el nivel precario extremo se mantiene con el 4 % durante 2016 y 2017, disminuyendo a 3,7 % y 2,9 % en 2018 y 2019. Los años donde se exhiben mayores niveles de precariedad para este indicador son 2017 y 2018.
Para las calificaciones técnicas, las distribuciones con mayor frecuencia se ubican durante todos los años en el nivel bajo y precario medio. Para el nivel bajo se ubican detrás de las clasificaciones profesionales, y conforme avanzan los años logran mayores distribuciones. Inician 2016 con el 60,4 % y finalizan 2019 con el 71,4 %.
Para el nivel medio de precariedad, las calificaciones técnicas siguen un comportamiento similar que en el nivel bajo, aunque con frecuencias menores, comenzando 2016 con el 27 % y logrando en 2019 el 14,3 %. Se ubican para este nivel de precariedad como las primeras en relación con el resto de las calificaciones.
En el nivel alto, las calificaciones técnicas incrementan su distribución relativa en cada año, del 7,3 % en 2016 al 9,2 % en 2018, disminuyendo su frecuencia en 2019 con el 9 % y ubicándose en el último lugar en comparación con el resto de los indicadores en la distribución. Por último, en el nivel precario extremo, desde 2016 a 2018 las frecuencias disminuyen (5,4 % a 5 %, respectivamente) y se incrementan al 5,4 % en 2019.
Por otra parte, las calificaciones operativas ubican mayores frecuencias relativas en todos los años sobre el nivel bajo, ocupando el tercer lugar en comparación con el resto de los indicadores y con una tendencia similar a ellos, es decir, por año observamos mayor participación en el nivel bajo, de forma tal que en el 2016 inicia con 60,4 % y finaliza en el 2019 con el 60,8 % de los casos (tendencia que exceptúa 2017 con un descenso de 0,01 punto porcentual, 60,3 %).
El nivel precario medio se ubica en el tercer lugar en relación con la distribución por año de los casos que integran a esta calificación. Entre 2016 y 2017 se incrementan los casos (16,1 % y 16,2 %) y luego descienden en 2018 al 15,7 %, para ubicarse con el 16 % en 2019. Por último, en el nivel precario extremo encontramos mayores frecuencias relativas si comparamos con las calificaciones profesionales y técnicas. Durante el 2016 a 2018 desciende su participación, pasando del 13,5 % al 11,9 %, respectivamente, aunque incrementa en el 2019 con el 12,9 %.
Los puestos de trabajo no calificados concentran mayor participación en el nivel precario extremo, y durante 2016 a 2018 su frecuencia relativa por año aumenta de 36 % en el 2016 a 38,3 % en el 2018, con excepción del 2019, donde desciende a 37,5 %. En el nivel bajo, durante los años 2017-2018 se sostiene con el 21 % y en 2019 logra mayor participación, ubicándose con el 30,5 %. En el nivel precario medio destaca el 21,2 % en 2016 y el 21,3 % en 2017, presentando menor frecuencia en 2018 con el 19,2 % y en el 2019 con el 10,5 %. Sobre el nivel precario alto para esta calificación, los valores exhibidos por año y en comparación se mantienen en valores próximos al 21 %.
Destacamos que todas las actividades con calificaciones se ubican en gran medida sobre el nivel bajo, encabezando este orden las de tipo profesional, seguidas por las técnicas y, en último lugar, las operativas. Aquellas actividades no calificadas se ubican en el nivel precario extremo con mayor frecuencia. Atendiendo las variaciones, al interior podemos señalar algunas diferencias como que las calificaciones técnicas lideran en el nivel de precariedad baja y las operativas en los de precariedad alta, ocupando el segundo lugar en el orden de distribuciones por año las profesionales y luego las técnicas.
Por otra parte, las actividades no calificadas no presentan mayores variaciones para los niveles bajo, medio y alto entre el 2016 y 2018, aunque sí se incrementa su participación en el nivel precario extremo. En el 2019 observamos una mayor participación de las no calificadas en el nivel bajo pero sosteniendo sus mayores frecuencias en el nivel precario extremo; señalamos además que la variación de frecuencias entre 2018 y2019 en el nivel medio de precariedad para no calificados (19,2 % a 10,5 %, respectivamente) y el aumento en el nivel bajo del mismo indicador para los mismos años (21,1 % a 30,5 %) pueden encontrarse relacionadas, ya que para el resto de los niveles sostienen una distribución relativa sin mayores variaciones con el año anterior.

En cuanto al tamaño de la empresa, los casos que manifiestan trabajar en empresas de hasta 5 personas se ubican con mayor frecuencia entre los niveles alto y extremo de precariedad, mientras que aquellas que lo hacen en establecimientos de 6 a 40 personas o más de 40 personas, en los niveles bajo y precario medio.
En los casos de hasta 5 personas, la participación en el nivel bajo se incrementa año tras año hasta 2019, logrando un máximo de 21,9 %. Para los niveles precario medio y precario alto, las frecuencias se incrementan entre 2016 y 2017 y luego descienden entre 2018 y 2019. Como indicamos al principio, en el nivel precario extremo la participación de este indicador es superior al 40 %. En 2016 inicia con el 41,7 % y luego desciende hasta 2018 con el 40 %. En 2019 se incrementa apenas 0,9 p.p. (40,9 %).
Las personas que trabajan en establecimientos de 6 a 40 personas, para el nivel bajo participan con el 50 % de las frecuencias relativas observadas para 2016, destacando un incremento año tras año hasta 2019 con el 61,9 %, el máximo en este nivel para este indicador. En cuanto al nivel precario medio, su participación interanual disminuye del 23,6 % al 12,4 % (entre 2016 y 2019, respectivamente).
Para el nivel alto y extremo observamos variaciones de escasa amplitud en comparación con el resto de los niveles. Para el precario alto las distribuciones son del orden del 15 % y para el precario extremo del 10 %.Destacamos para el primero una disminución entre 2016 a 2017 (15,6 % a 15,1 %), un incremento en el 2018 (15,5 %) y un descenso para el 2019 (14,8 %) y para el segundo (precario extremo) observamos descensos entre 2016 y2019 (10,8 % a 9,9 %, respectivamente) y un incremento en el 2019 con el 10,8 %.
Entre los establecimientos de más de 40 personas las mayores distribuciones porcentuales por año se encuentran en el nivel bajo, superando relativamente además al resto de los indicadores, logrando en el 2019 su máximo con el 81 %. La participación de este indicador en el nivel precario medio es del 22,2 % en el 2016 y desciende en el 2017 con el 21,2 %, se incrementa en el 2018 con el 22 % y reduce su participación al 11,6 % en el 2019.
En cuanto al nivel precario alto, destaca un incremento entre 2016 y2018 de 3,3 % a 5,9 % y luego desciende al 4,7 % durante el 2019. Para finalizar, en el nivel precario extremo, las personas que trabajan en establecimientos de más de 40 personas inician el 2016 con el 1,7 % e incrementan paulatinamente su participación hasta el 2018 con el 2,9 %, mientras que en el 2019 disminuyen con el 2,7 %.
En términos generales se observan disminuciones en la participación de precario medio para todos los indicadores entre 2018 y 2019, junto con un incremento de similares características para el nivel bajo durante los mismos años.

Nota: La rama de servicios se integra por: suministro de electricidad, gas y agua, transporte y almacenamiento, alojamiento y servicios de comidas, información y comunicación, actividades financieras, de seguros e inmobiliarias, administración pública y defensa, enseñanza, salud y servicios sociales, artes, entretenimiento y recreación, otras actividades de servicios, actividades de hogares/empleo doméstico, de organizaciones y organismos extraterritoriales, profesionales, científicas y técnicas y actividades administrativas y servicios de apoyo.
Elaboración propia a partir de eph-indec.Entre las grandes ramas de actividad, industria es la que presenta mayores frecuencias año tras año en el nivel bajo en comparación con las frecuencias relativas observadas en el resto de los sectores. Por otra parte, comercio, si bien se caracteriza por ubicar sus mayores frecuencias de casos en el nivel bajo al igual que servicios, en el nivel precario extremo es el que más casos relativos presenta en comparación con el resto.
Industria inicia el año 2016 con el 52,4 % de los casos en el nivel bajo y su participación disminuye hacia 2017 con el 51,5 %. Durante el 2018 se recupera con el 54,8 % y en el 2019 logra su máxima concentración con el 61,2 %. Este sector para el nivel precario medio presenta frecuencias entre el 22 % y el 22, 1 % durante el 2016 y 2017 respectivamente, luego desciende hacia el 2019 con el 10,2 %. Por otra parte, el nivel precario alto para industria sostiene menores frecuencias conforme avanzan los años hasta el 2018. En 2016 inicia con 15,2 % y en 2018 logra ubicarse con el 12,8 %; en 2019 se incrementa al 15,2 %.
Por último, para el precario extremo, la industria exhibe mayor distribución de frecuencias para todos los años conforme avanza la serie, de 10,4 % en 2016 a 13,4 % en 2019.
En cuanto a sector comercio, las mayores distribuciones se ubican en el nivel bajo, exhibiendo entre 2016 y2017 un descenso (43,6 % a 42,9 %, respectivamente).De allí hasta 2019 logra el 52,5 %; sin embargo, al comparar con las distribuciones del resto de los sectores se encuentra detrás de servicios (segundo lugar) e industria (primer lugar). Para el nivel precario medio destacamos años de mayor participación entre 2016 y 2017 (de 19,4 % a 19,6 %, respectivamente) y luego un descenso sostenido hasta 2019 con el 10,1 %.
En el nivel precario alto, destacamos incrementos iniciando con el 19,2 % en 2016 hasta el 20,1 % de 2018, descendiendo a 19,2 % durante 2019. El sector comercio es el que más casos exhibe en tanto frecuencias relativas por año en el nivel precario extremo; destaca distribuciones similares entre 2016 y 2017 del 17,8 % y 17,7 % para cada año, y se incrementa desde 2018 con el 18 % hasta el 18,2 % en 2019.
Con respecto al sector de servicios, observamos mayores frecuencias en el nivel bajo, con una participación en aumento, desde 2016 con el 46,6 % hasta el 2019 con el 59,1 %. En el nivel precario medio, su participación desciende año tras año pasando del 24,3 % al 22,9 % entre 2016 y 2019, respectivamente. En cuanto al nivel de precariedad alto, exhibe frecuencias en aumento con el 13,2 % en el 2016 hasta el 14,6 % para el 2018, luego desciende al 13,9 % en el 2019 y, por último, en el nivel precario extremo, a pesar de exhibir menores frecuencias entre 2016 y2017 (15,89 % y14, 9 %), incrementa su participación en el 2018 con el 15,6 % y luego desciende en el 2019 con el 15,2 %.
En resumen, los grandes sectores de actividad se ubican en el nivel bajo con valores superiores al 40 %.Sin embargo, entre ellos, el sector de comercio ubica mayor frecuencia de casos entre los niveles precario alto y extremo mientras que industria y servicios lo hace con el nivel precario medio. Es importante señalar también el mismo comportamiento entre el nivel precario medio y bajo que observamos en las tablas precedentes, de un aumento de frecuencias relativas en el nivel bajo y un descenso de similar amplitud en el nivel precario medio. Destacamos además un cambio de tendencia en cuanto a la distribución de frecuencias relativas entre 2017 y 2018, exhibiendo en términos generales un aumento de casos hacia niveles más altos y extremos de precariedad y menor participación en los niveles bajo y precario medio.
Como conclusión general para este bloque destacamos que las personas sin calificación y operativas se ubican con mayor frecuencia en los niveles extremo y alto de precariedad, al igual que aquellas personas que desarrollan sus actividades en empresas de hasta 5 personas. Respecto de las grandes ramas de actividad, se destaca mayor dispersión entre los niveles, observando una mayor distribución en el nivel bajo, aunque para comercio, en comparación, se destacan mayores concentraciones en el nivel extremo con respecto al resto de los sectores.
4. Debate de resultados
En general los resultados presentan hallazgos similares a los realizados en otras investigaciones que trabajaron sobre encuestas de hogares a nivel nacional (Delfini, 2016) y latinoamericano (De Oliveira, 2006; Mendoza-González et al., 2020; Román Sánchez, 2013; Salas, 2005), reflejando una expresión estructural similar con respecto a la precariedad. La posibilidad de encontrar mayor frecuencia de casos en los niveles altos y extremos de mujeres respecto de varones (Samaniego y Salas, 2018; Varela, 2021; Verdenelli, 2020; Vicent Valverde y Vicent Valverde, 2017), entre grupos de edad jóvenes (16 a 30 años) frente a los adultos (30 a 64 años) (Longo yBusso, 2017; Mauro, 2019; Maza yMartínez, 2020), en personas con bajo nivel educativo (sin instrucción o primario) frente a los de mayor nivel (terciario/universitario y secundario), y en cuanto a la calificación: quienes no tienen calificación respecto de profesionales, técnicos y operativos, manifiestan en conjunto la expresión de un nivel de precariedad elevada (De Oliveira, 2006; Mendoza-González et al., 2020; Salas, 2005).
En particular, destacamos sobre el nivel bajo y precario medio:
• Gran participación en el nivel bajo para todos los indicadores a excepción de los casos que se encuentran trabajando en empresas de hasta 5 personas, personas sin calificación, sin instrucción y grupos de edad entre 16 a 29 años, donde entre ellas no superan el 40 % de las frecuencias relativas observadas con algunas excepciones (las personas sin instrucción durante 2016 y 2018).
• Todos los indicadores tienden a lograr mayores frecuencias en dicho nivel según avanzan en años, al tiempo que disminuyen sus concentraciones en el nivel de precariedad baja y se mantienen en frecuencias similares en los niveles precario alto y extremo entre 2018 y 2019, con excepción del nivel sin instrucción.
Y sobre el nivel alto y extremo de precariedad:
• Mayor presencia de las mujeres en el nivel extremo de precariedad que en varones y frecuencias similares entre varones y mujeres en el nivel alto de precariedad, con liderazgo de los primeros.
• Mayor frecuencia de los grupos de población entre 16 a 29 años respecto del grupo de 30 a 64 años.
• Respecto a los niveles educativos, evidenciamos mayores frecuencias en los niveles primario y sin instrucción.
• En cuanto a las calificaciones, aquellas personas sin calificación lideran los niveles altos y extremos de precariedad y en menor medida las operativas.
• En relación con el tamaño de las empresas, aquellos establecimientos de hasta 5 personas se ubican en primer lugar.
• En cuanto a las grandes ramas de actividad, lidera comercio en todos los años en los niveles alto y extremo, aunque debemos destacar un incremento sostenido en el nivel extremo para industria.
Nuestro supuesto de trabajo sostuvo quela precariedad persiste en niveles elevados entre las personas ocupadas que son mujeres, que pertenecen a grupos de edad jóvenes, que tienen bajo nivel educativo, grupos con baja calificación y grupos que despliegan sus actividades en establecimientos de hasta 5 personas y concentrando mayores frecuencias sobre el sector de servicios. Si bien los hallazgos confirman el supuesto inicial, no lo hacen en relación con el de actividades económicas, siendo la rama de comercio la que presenta mayores frecuencias en los niveles alto y extremo de precariedad.
Sobre este aspecto, debemos destacar que el análisis sobre los sectores de actividad al agruparse estos, reducen en especificidad, pues al interior son heterogéneos y puede que en algunos subrubros de servicios o bien de industria, el nivel de precariedad sea mayor al observado que en el sector en términos generales (Fernández Massi, 2014).
En términos de período (2016-2019), en un contexto de crisis económica observamos un mejoramiento de los indicadores para todos los años en el bloque sociodemográfico (mayor concentración de personas en el nivel de precariedad bajo, con importante descenso en el nivel medio de precariedad). Sin embargo, los cambios en los niveles alto y extremos se sostienen en valores relativos similares e incluso incrementándose conforme avanzan los años. Sucede algo similar en relación con los niveles de calificación, tamaño de empresa y grandes ramas de actividad.
Como contribución puntual a los estudios de la precariedad en Argentina, podemos señalar que durante 2018 y 2019 las frecuencias relativas observadas en el nivel de precariedad medio tienden a concentrarse en el nivel bajo al tiempo que las distribuciones en los niveles alto y extremo se mantienen relativamente constantes. Sin embargo, debemos destacar que durante esos años (2018-2019) la tasa de actividad aumentó 1,3 puntos porcentuales, de 46,4 % a 47,7 % respectivamente (indec, 2019), donde esta nueva proporción de trabajadores y trabajadoras pudieron insertarse eventualmente en empleos del nivel bajo, explicando parte de las concentraciones observadas en las tablas precedentes en aquellos años.
A pesar de ello, podemos suponer que existen mayores posibilidades de lograr empleos de menor precariedad si se encuentran en un nivel medio de precariedad, y que en contextos de crisis económica, las distribuciones tenderían a ubicarse con mayores frecuencias en los extremos del índice, entre los niveles bajo, por un lado, y alto y extremo, por otro.
5. Conclusiones
El objetivo de este artículo consistió en desarrollar un índice de precariedad laboral para caracterizar las posibles variaciones en diferentes indicadores sobre variables sociodemográficas y del mercado de trabajo. Permitió dar cuentas sobre los niveles en los que se encuentran mayores frecuencias de caso por indicador y por año y concluir que existen mayores concentraciones en los niveles más elevados de la precariedad (alto y extremo) para el caso de mujeres, grupos de edad de 16 a 30 años, niveles sin instrucción y primario (completo e incompleto), sin calificación, en establecimientos de hasta 5 personas y, en particular, sobre el comercio. Encontramos además que para la gran mayoría de los indicadores, la tendencia interanual se dirige de situaciones de media precariedad hacia situaciones de baja precariedad durante 2018 y 2019, incrementando la brecha entre el nivel bajo y el alto y extremo.
Es importante destacar las limitaciones de este estudio. Se realizaron procedimientos metodológicos para sintetizar múltiples variables relacionadas con la precariedad laboral (análisis de componentes principales –acp–), y posteriormente se construyó un índice definiendo como bajo, medio, alto y extremo los niveles de precariedad; en ambos casos se sintetiza y reduce la información y la complejidad del fenómeno de la precariedad.
En primer lugar, las variaciones observadas pueden reflejar manifestaciones del fenómeno de precariedad en un sentido macroestructural sobre mercado de trabajo; sin embargo, opinamos que dichas variaciones pueden expresar cambios en aspectos demográficos (aumento/descenso de población), como las variaciones observadas para la tasa de actividad entre 2018 y 2019, o cambios en el marco muestral durante los trimestres bajo análisis (muestras más amplias o más reducidas). Debemos tener en cuenta que la eph trata de mantener la aproximación de la población en actualización de sus marcos muestrales. En nuestro caso, explicamos las variaciones del nivel de precariedad señalando la posibilidad de dicho sesgo; sin embargo, sugerimos para investigaciones futuras que se desarrollen índices de este tipo, trabajando solo con los mismos casos en la base de datos a fin de lograr mayor precisión en la explicación de la variabilidad, siendo lo expuesto en el presente artículo una aproximación.
En segundo lugar, las variaciones generales observadas pueden especificarse aún más, ya sea según grupos de edad y sexo, sectores de actividad y/o regiones particulares o bien aglomerados urbanos puntuales. A mayor especificación en estos niveles, mayor precisión y posiblemente comparabilidad con los indicadores generales del mercado de trabajo.
En tercer lugar, la construcción teórica del concepto de precariedad como fenómeno multidimensional puede constituirse como otra limitación al momento de su medición. Sostenemos que la construcción se valida sobre el conjunto de investigaciones que han abordado el tema con enfoques similares al aplicado y siguiendo atributos comunes en su definición estricta; aun así, la ausencia o presencia de situaciones de precariedad laboral expuestas en este trabajo no considera aspectos «subjetivos», ya que la eph no se enfoca en este tipo de relevamientos, pero bien pueden complementarse con otras investigaciones que sí desarrollen esas dimensiones.
A pesar de las limitaciones, el análisis realizado resulta valioso ya que los hallazgos reflejan en términos generales qué indicadores del conjunto de variables sociodemográficas y del mercado de trabajo expresan mayores niveles de precariedad y, sobre ellos, puede problematizarse en futuras investigaciones o disponerse como insumo para el debate a nivel de política de empleo.
Referencias bibliográficas
Aguado, M. L. y Provecho, M. L. G. (2019). Cómo realizar e interpretar un análisis factorial exploratorio utilizando spss. reire: revista d’innovació i recerca en educació, 12(2), 1-14.
Antunes, R. (2009). Diez tesis sobre el trabajo del presente (y el futuro del trabajo).En Neffa, J. C.;De la Garza Toledo, E. y Muñiz Terra, L.,Trabajo, empleo, calificaciones profesionales e identidades laborales. Buenos Aires: caicyt-clacso.
Anzaldo, C. y Prado, M. (2006). Índices de marginación. Consejo Nacional de Población.
Barattini, M. (2009). El trabajo precario en la era de la globalización: ¿Es posible la organización? Polis, 8(24). doi: https://doi.org/10.4067/S0718-65682009000300002
Caire, G. (1982). Précarisation des emplois et régulation du marché du travail. Sociologie du Travail, 24(2), 135-158.
Comisión Económica para América Latina y el Caribe (2016). Balance Preliminar de las Economías de América Latina y el Caribe 2016. cepal. Disponible en: https://www.cepal.org/es/publicaciones/40825-balance-preliminar-economias-america-latina-caribe-2016
Comisión Económica para América Latina y el Caribe (2017). Balance Preliminar de las Economías de América Latina y el Caribe 2017. cepal. Disponible en: https://www.cepal.org/es/publicaciones/42651-balance-preliminar-economias-america-latina-caribe-2017
Comisión Económica para América Latina y el Caribe (2018). Balance Preliminar de las Economías de América Latina y el Caribe 2018. cepal. Disponible en: https://www.cepal.org/es/publicaciones/44326-balance-preliminar-economias-america-latina-caribe-2018
Comisión Económica para América Latina y el Caribe (2019). Balance Preliminar de las Economías de América Latina y el Caribe 2019. cepal. Disponible en: https://www.cepal.org/es/publicaciones/45000-balance-preliminar-economias-america-latina-caribe-2019
Consejo Nacional de Evaluación de la Política Social (coneval) (2007). Los mapas de pobreza en México. Anexo técnico metodológico.
Córdova, E. (1983). Nuevas formas y aspectos de las relaciones de trabajo atípicas [Ponencia]. XI Congreso internacional de derecho del trabajo y la seguridad social, Caracas.
Dalenius, T. y Hodges, J. L. (1959). Minimum Variance Stratification. Journal of the American Statistical Association, 54(285), 88-101. doi: https://doi.org/10.1080/01621459.1959.10501501
De la Garza Toledo, E. (2009). Hacia un concepto ampliado de trabajo. En Trabajo, empleo, calificaciones profesionales, relaciones de trabajo e identidades laborales (CAICyT, Vol. 1). clacso.
De la Garza Toledo, E. (2013). Trabajo no clásico y flexibilidad. Caderno CRH, 26(68), 315-330. doi: https://doi.org/10.1590/S0103-49792013000200007
De Oliveira, O. (2006). Jóvenes y precariedad laboral en México. Papeles de Población, 12(49), 37-73.
Del Bono, A. (2019). Trabajadores de plataformas digitales: Condiciones laborales en plataformas de reparto a domicilio en Argentina.Cuestiones de Sociología,20,083. doi: https://doi.org/10.24215/23468904e083
Delfini, M. (2016). Determinantes de la precarización laboral en Argentina entre 2003-2013: Entre los cambios y las continuidades. Investigación y Desarrollo, 24(1), 53-75. doi: https://doi.org/10.14482/indes.24.1.8684
EPH-INDEC. (2019). Mercado de trabajo. Tasas e indicadores socioeconómicos (eph). Segundo trimestre de 2019 (N.º 5; Trabajo e ingresos, p. 28). Instituto Nacional de Estadística y Censo (indec).
Favieri, F. N. (2016). Precariedad laboral: Concepto, variables y propuesta de análisis. De Prácticas y Discursos. Cuadernos de Ciencias Sociales, 5(7), artículo7. Disponible en: https://ppct.caicyt.gov.ar/index.php/depracticasydiscursos/article/view/10465
Fernández Massi, M. (2014). Dimensiones de la precariedad laboral: Un mapa de las características del empleo sectorial en la Argentina. Cuadernos de Economía, 33(62), 231-257. doi: https://doi.org/10.15446/cuad.econ.v33n62.43675
Galin, P. yNovick, M. (1990). La precarización del trabajo en la Argentina. Centro Interamericano de Administración del Trabajo.
Gallie, D. y Paugam, S. (2000). The Welfare Regimes and the Experience of Unemployment in Europe.Oxford: Oxford University Press.
García, B. (2006). La situación laboral actual: Marcos conceptuales y ejes analíticos pertinentes. Sociología del Trabajo, 58, 3-32.
García, E. R. (2011). Castel, Robert (2010): El ascenso de las incertidumbres: trabajo, protecciones, estatuto del individuo. Buenos Aires: Fondo de Cultura Económica.
Instituto Nacional de Estadísticas y Censos (indec) (2003). La nueva Encuesta Permanente de Hogares de Argentina.
Instituto Nacional de Estadísticas y Censos (indec) (2019). Mercado de trabajo. Tasa e indicadores socioeconómicos (eph). Segundo trimestre. Informes técnicos, 3(174), Serie Trabajo e ingresos, 3(5). indec
Instituto Nacional de Estadística y Geografía (inegi) (2010). Nota técnica. Estratificación univariada.
Kaiser, H. F. (1970). A second generation little jiffy. Psychometrika, 35(4), 401-415. doi: https://doi.org/10.1007/BF02291817
Longo, J. yBusso, M. (2017). Precariedades. Sus heterogeneidades e implicancias en el empleo de los jóvenes en Argentina. Estudios del Trabajo. Revista de la Asociación Argentina de Especialistas en Estudios del Trabajo (aset), 53, artículo53. Disponible en: https://aset.org.ar/ojs/revista/article/view/6
Mauro, M. D. (2019). Rotar en la precariedad o sobre el trabajo de los jóvenes. A Contracorriente: Una Revista de Estudios Latinoamericanos, 16(3), 139-160.
Maza, O. M. yMartínez, M. G. P. (2020). Concepción del Trabajo en Ámbitos Precarios. Los jóvenes trabajadores de Moroleón y Uriangato, Guanajuato. iluminuras, 21(52), artículo52. DOI: https://doi.org/10.22456/1984-1191.96185
Mendoza-González, M. Á.; Cruz-Calderón, S. F. y Valdivia-López, M. (2020). Niveles y subniveles de precariedad extrema en México: Una metodología de grupos con condiciones laborales ordenadas. Estudios Demográficos y Urbanos, 35(2), 405-448. doi: https://doi.org/10.24201/edu.v35i2.1784
Neffa, J.; Suarez Maestre, A.; Battistuzzi, A.; Biaffore, E. y Hayes, S. (2008). La informalidad, la precariedad laboral y el empleo no registrado en la provincia de Buenos Aires. La Plata: Ministeriode Trabajo Provincia de Buenos Aires; Buenos Aires: Centro de Estudios e Investigaciones Laborales.
OIT (1972). Employment, Incomes and Equality: A Strategy for Increasing Productive Employment in Kenya. WIEGO – oit. Disponible en: https://www.wiego.org/publications/employment-incomes-and-equality-strategy-increasing-productive-employment-kenya
Oficina de Actividades para los Trabajadores (actrav) – Organización Internacional del Trabajo (oit) (2012). Del trabajo precario al trabajo decente: Documento final del simposio de los trabajadores sobre políticas y reglamentación para luchar contra el empleo precario (Oficina Internacional del Trabajo / Oficina de Actividades para los Trabajadores), oit.
Piñeiro, D. E. (2011). Precariedad objetiva y subjetiva en el trabajo rural: Nuevas evidencias. Revista de Ciencias Sociales, 24(28), 11-33.
Pol, M. A.; Guilló, M. y Maradona, G. (2015). Precariedad laboral en el Gran Mendoza [Ponencia]. 7° Pre Congreso Regional de Especialistas en estudios del Trabajo, Mendoza. Disponible en: https://bdigital.uncu.edu.ar/10519
Rodgers, G. y Rodgers, J. (1992). El trabajo precario en la regulación del mercado laboral: Crecimiento del empleo atípico en Europa Occidental (Ministerio de Trabajo y Seguridad Social de España). Centro de Publicaciones, Ministerio de Trabajo y Seguridad Social.
Román Sánchez, G. (2013). Impactos sociodemográficos y económicos en la precariedad laboral de los jóvenes en México. Región y Sociedad, 25(58), 165-202.
Sáinz, J. P. P. (2010). Minor Mora Salas. Ajuste y empleo: La precarización del trabajo asalariado en la era de la globalización. México – Guatemala
Salas, M. M. (2005). Ajuste y empleo: Notas sobre la precarización del empleo asalariado. Revista de Ciencias Sociales (Cr), II (108), 27-39.
Salas, M. M. (2012). La medición de la precariedad laboral: Problemas metodológicos y alternativas de solución. Revista Trabajo, 1(9), 89-122.
Samaniego, A. G. y Salas, J. A. U. (2018). Precarización del empleo en Morelia, Michoacán, México. Cimexus, 13(1), 31-50.
Schuschny, A. y Soto, H. (2009). Guía metodológica. Diseño de indicadores compuestos de desarrollo sostenible. [Colección Documentos de Proyectos]. Comisión Económica para América Latina y el Caribe (cepal).
Varela, P. (2021). La nueva ola feminista y las luchas de las mujeres trabajadoras: ¿por qué luchamos? O Socialem Questão, 1(49). doi: https://doi.org/10.17771/PUCRio.OSQ.51125
Vejar, D. J. (2013). Contribuciones al estudio de Identidades e Identificaciones precarias en Chile. Polis, 12(36), 407-429. doi: https://doi.org/10.4067/S0718-65682013000300018
Vejar, D. J. (2020). Precariedad como gobierno de la pandemia: La experiencia de la precariedad laboral en Chile. hybris, Revista de Filosofía, 11(2), 125-149. doi: https://doi.org/10.5281/zenodo.4060500
Verdenelli, J. (2020). Trabajo artístico, precarización laboral y maternidad en bailarinas de tango y bailarinas contemporáneas en la ciudad de Buenos Aires. RELACult - Revista Latino-Americana de Estudos em Cultura e Sociedade, 6(2), artículo2. doi: https://doi.org/10.23899/relacult.v6i2.1935
Vicent Valverde, L. y Vicent Valverde, L. (2017, julio 4). Precariedad laboral en la economía española. Una perspectiva de género. El mercado de trabajo en los primeros años del siglo xxi [Info:eu-repo/semantics/doctoralThesis]. Universidad Complutense de Madrid. Disponible en: https://eprints.ucm.es/id/eprint/49822/
Anexo estadístico
Análisis de Componentes Principales (ACP)
«Los Componentes Principales son combinaciones lineales de las variables originales que pueden ser ordenadas de forma decreciente de acuerdo a la “cantidad de varianza” que ellas contribuyen a computar a partir de los datos originales» (Schuschny y Soto, 2009: 43). A continuación presentamos el sustrato matemático que incluye el cálculo del ACP a partir de Uriel (1995) en Schuschny y Soto (2009):
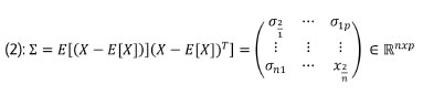
Se parte de p variables, muestreadas sobre n (unidades de análisis) casos: x11,…,xp1,…,x1n,… xpn. Su expresión matricial es:

Y la matriz de covarianza muestral queda definida por:

También puede calcularse la matriz muestral de correlaciones R partiendo de X. Brindan información sobre la «concomitancia en la variabilidad observada en las variables cuando son tomadas de a pares. Las variables que muestran baja correlación serán candidatas a ser eliminadas del análisis» (Schuschny y Soto, 2009: 43).

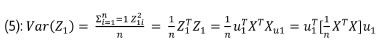
La primera componente «se construye de modo que contenga la máxima proporción posible de la varianza de los x' s, la segunda, la máxima de la varianza restante y así sucesivamente» (Schuschny y Soto, 2009: 43). La expresión de la primera componente como combinación lineal:

Luego se reconoce el vector μ1 que se obtiene mazimizando la varianza Var(Z1)

Quedando sujeto a la restricción de que la suma de los ponderadores al cuadrado sea igual a uno (condición de ortogonalidad). El resto de las componentes se obtienen de la misma manera con la salvedad de que hay que introducir una restricción de ortogonalidad (no correlatividad) respecto de la primera: u2 u1=0. «de tal manera que la j-ésima componente: Zj deberá restringirse a satisfacer en la maximización la ortogonalidad respecto a todas las anteriores componentes» (Schuschny y Soto, 2009: 43):

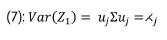
Para ordenar las componentes de mayor a menor variabilidad explicada a partir de la magnitud de cada autovalor: uj uj = 1 ∀1 ≤ j ≤ p, la varianza de Zj es

De esta forma, «el autovector uj de ponderación de la componente Zj está asociado alautovalor j» (Schuschny y Soto, 2009: 43). Y con ello exponemos los aspectos básicos delsustrato matemático subyacente para el desarrollo del ACP.
Construcción del índice
A partir de las notas técnicas del Instituto Nacional de Estadísticas y Geografía (INEGI) (2010), seguimos los procedimientos de aplicación tal y como se desarrolla a continuación:
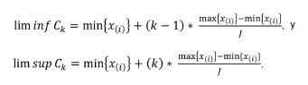
Con el conjunto de n observaciones de la variable «factor» expresión de la primera componente x = (x1, x2, ..., xn ), el procedimiento para formar 4 estratos de precariedad (bajo, medio, alto y extremo) fue el siguiente:
a) Ordenamos las observaciones de manera ascendente.
b) Agrupamos x = (x1, x2, ..., xn ) en un número J de clases, donde J = min {h*10,n}.
c) Calculamos los límites para cada clase de la siguiente forma:

Los intervalos se toman abiertos por la izquierda y cerrados por la derecha, a excepción del primero que se cierra por ambos lados.
d) A partir de los límites, obtenemos las frecuencias de las observaciones en cada clase: fi = i ∈ {1, …,J}.

e) Posteriormente calculamos la raíz cuadrada de frecuencia y la acumulamos en cada clase:

f) Luego dividimos la suma de la raíz cuadrada de las frecuencias por el número de estratos:

Los puntos de corte en cada estrato se obtienen sobre el acumulado de la raíz cuadrada de las frecuencias en cada clase según Q, 2Q, …, (h − 1) Q1. Por último:
Si el valor de Q queda entre dos clases, se tomará como punto de corte aquella clase que presente la mínima distancia a Q. Los límites de los h estratos conformados serán aquellos correspondientes a los límites inferior y superior de las clases comprendidas en cada estrato. (INEGI, 2010)
De esta forma presentamos el sustrato matemático para la realización del índice de precariedad.
Notas